ベストデコレーションスペースアイデア

Https Encrypted Tbn0 Gstatic Com Images Q Tbn 3aand9gcrxjjpgvgbhs Zvsgkisl4fjofv3rcylaeagvkl8mc85sg967vd Usqp Cau

Http Www Columbia Edu Itc Chemistry Chem C3045x01 Client Edit Organic Archive 03 Alkane Pdf

What Is The Iupac Name Of Ch3 3 Ch Ch2 Ch Ch3 3 Quora

Https Encrypted Tbn0 Gstatic Com Images Q Tbn 3aand9gctd6ma09musqe6lpdk66tnenr2puf0ytdgiqsibzpin7yw6i9nh Usqp Cau

Ch3 2chch2ch C2h5 Ch Ch3 Ch3 Complete Structural Formula Brainly In

Organic Chemistry 2nd Edition Klein Test Bank

Biochemistry Review Overview Of Biomolecules Ppt Video Online

Chapter 2 Strain And Stability Ppt Video Online Download

Organic Chemistry 2nd Edition Klein Test Bank

Chapter 12 Chapter 13 Exam 2 Physio Chem Flashcards Quizlet

Organic Chemistry Carey Problems Solutions

What Is The Iupac Name Of Ch3 2c C Ch3 Ch2ch Ch3 2 Quora

What Is The Iupac Name Of Ch3 2chch Oh Ch2c Ch3 3 Quora

Https Echa Europa Eu Fi Registration Dossier Registered Dossier 15569 Iuclidsection 1 Infopanel Collapsecomposition1

Nomenclature For Organic Chemistry

Organic Chemistry Organic Chemistry Is The Study Of Carbon

What Is The Iupac Name Of Ch3c Ch3 2ch Cl Ch3 Quora

Chapter 12 Chapter 13 Exam 2 Physio Chem Flashcards Quizlet

Organic Chemistry 2nd Edition Klein Test Bank

Solved 1 Draw Bond Line Diagrams For The Following Conde

What Is The Structure And Iupac Name Of Ch3 2ch 3coh Brainly In

Properties Of The Inspected Refrigerants For Erc Download

Sush

Resolucoes Principios De Quimica Atkins 3 Ed Ch18 Odd

Http Www Chymist Com Organic 20nomeclature Pdf

In The Reaction The Products Formed Are Ch3 2ch2 Ch2 O Ch2ch3

Table 40 From The Biosynthesis Of Artemisinin Qinghaosu And The

Solved 1 Name Ester Aldehyde Carboxylic Acid Ketone 2

Chapter 12 Chapter 13 Exam 2 Physio Chem Flashcards Quizlet

What Is The Iupac Name Of Ch3 2ch Ch2 Ch3 Quora

Ch3 2chch2ch C2h5 Ch Ch3 Ch3 Complete Structural Formula Brainly In

Line Structure Of Ch3 2ch Ch2 3oc Ch3 3 Yeah Chemistry

Solved 1 Label Each Pair Of Compounds As Constitutional

What Is The Iupac Name Of Ch3 2ch Ch2 2cooh Quora

Organic Functional Groups And Nomenclature Ppt Video Online Download

What Is The Iupac Name And Structure Of Ch3 2ch Ch2 Ch Ch3 2

Ppt Chapter 9 Alkynes Powerpoint Presentation Free Download

Quimica

Basic Organic Chemistry

Ib Chemistry On Organic Nomenclature And Functional Groups

Which Of The Following Multistep Reaction Clutch Prep

Berilah Nama Senyawa Berikut Tata Nama Alkana E Ch3 2ch Ch2

Solved Give Iupac Names For The Following Compounds Ch2c

Ib Chemistry On Homologous Series Functional Gp And Nomenclature

Http Www Westminster Edu Staff Smithpm Che261 Notes Alkanes Pdf

Biochemistry Review Overview Of Biomolecules Ppt Video Online

Fr2606971a1 Carboxylic Acid Amide S Used As Herbicide Antidotes

Iupac Name Of The Ch3c Ch3 2ch2ch Ch3 Ch2 2ch3 Youtube

Basic Organic Chemistry

Arrange The Carbanions Ch3 3 C Ccl3 Ch3 2 Ch C6h5 Ch2

Condensed Formulas What Do The Brackets Mean

Organic Chemistry 2nd Edition Klein Test Bank

Solved Complete And Balance The Following Transmetallatio

Https Encrypted Tbn0 Gstatic Com Images Q Tbn 3aand9gctxlgjtqtmbz1wubxpl 3lpf8v0ayxh5zf 4ysjc9yqxzco Nj Usqp Cau

In The Reaction The Products Formed Are Ch3 2ch2 Ch2 O Ch2ch3

What Is The Iupac Name And Structure Of Ch3 2ch Ch2 Ch Ch3 2

Ep0085843b1 Antimycosic Agent Google Patents

Organic Chemistry

Alkanes Nf2f Docx Alkane Hydrocarbons

Grade Docx Grade 33 10 Out Of 36 00 92 Top Of Form Question 1

Solution Which Formula Is Equivalent To Organic Chem

What Is The Iupac Name And Structure Of Ch3 2ch Ch2 Ch Ch3 2

Which Of The Following Multistep Reaction Clutch Prep

Ep 2146963 A2 Dual Acting Antihypertensive Agents The Lens

Solved The Two Alkenes Shown Below Were Synthesized From

2

What Is The Structure And Iupac Name Of Ch3 2ch 3coh Brainly In

In The Reaction The Products Formed Are Ch3 2ch2 Ch2 O Ch2ch3

What Is The Iupac Name Of Ch3 3 Ch Ch2 Ch Ch3 3 Quora

Table 1 From Application Of Hansch S Model To Capsaicinoids And

Http Rhbestsh X Y Net Studying Snu Science Chemistry Lecture Note Ch 18 Pdf

Solucao Exercicios Carey Parte B Solucao Exercicios Carey

What Will Be The Iupac Name Of Ch3 C Ch3 2 Ch C Ch3 2 Quora

Solved Which Compound Is A Triacylglycerol Select One C

Chapter 12 Chapter 13 Exam 2 Physio Chem Flashcards Quizlet

Solved References The Two Alkenes Shown Below Were Synthe

3º Em Corra

What Is The Iupac Name Of Ch3 2ch Ch2 Ch Ch3 2 Quora

Solved 4 Points Each Predict The Major Product For The Fo

Solved 5 Write The Molecular Formula And Name The Follow

2

Chapter 9 Alkynes Sources Of Alkynes And Nomenclature Ppt Download

Nomenclatura De Compuestos Organicos

Solved Convert Each Condensed Formula To A Lewis Structure A

Chapter 9 Alkynes Copyright C The Mcgraw Hill Companies Inc

Synthetic Route From 2 6 Lutidine 9 To 2 Methyl 6

New Perylene Dyes Derivatives Of 1 6 7 12 Tetrachloroperylene 3 4

Organic Chemistry 2nd Edition Klein Test Bank

Solved Question 3 2 Points Unsaturated Hydrocarbons Are

What Is The Iupac Name Of Ch3 2ch Ch2 2cooh Quora

Give The Iupac Name For The Following Compound Ch3c Ch3 2ch2c

Chemical Structures Of Ppv Derivatives A Mehppv B Doo Ppv

Organic Chemistry 2nd Edition Klein Test Bank

Https Encrypted Tbn0 Gstatic Com Images Q Tbn 3aand9gctvhhu0fnlysp0dkzx4xi4rpxj6u6byeaheo4l M5hsxeetrm9m Usqp Cau

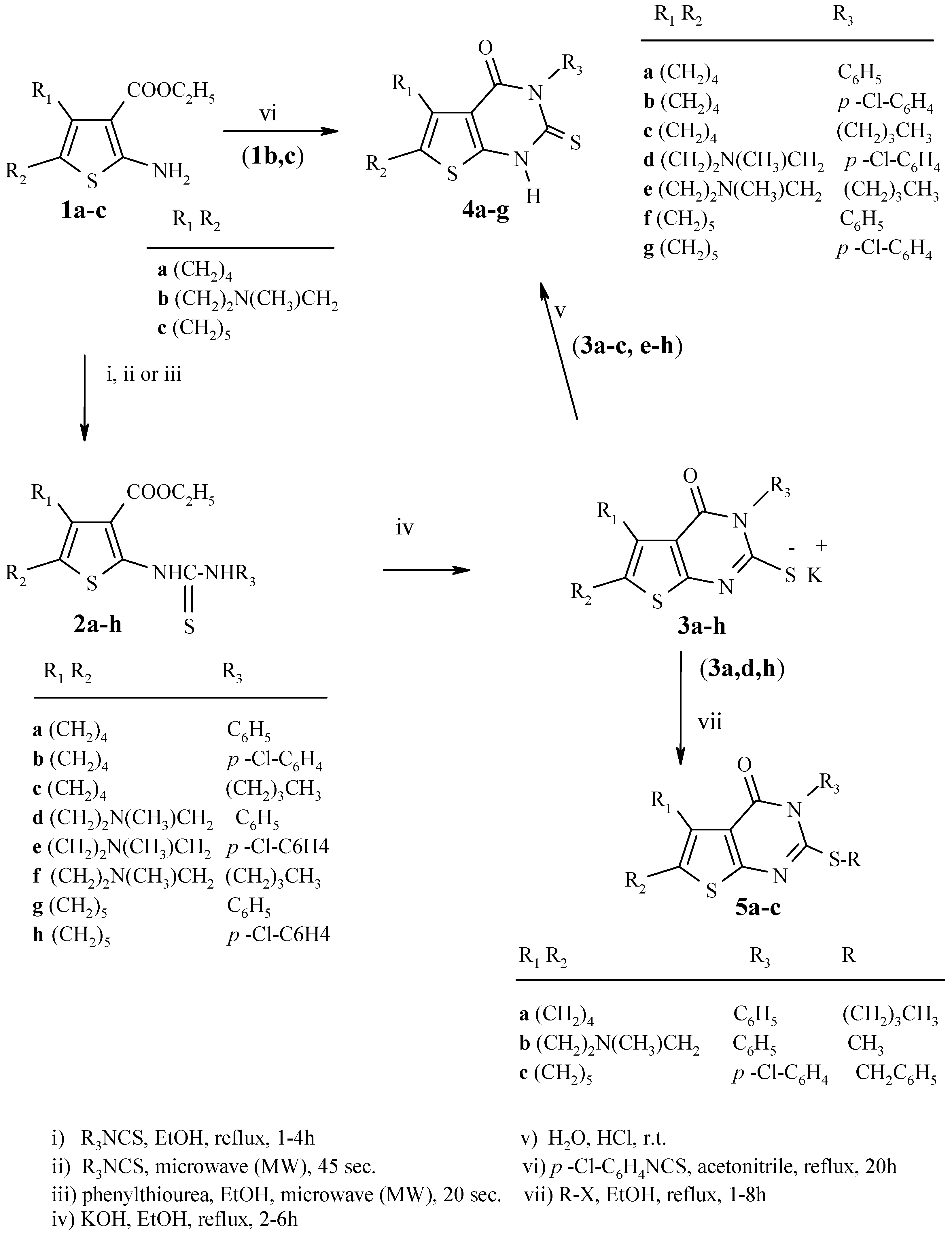
Molecules Free Full Text Synthesis Of Some Thienopyrimidine

In The Reaction The Products Formed Are Ch3 2ch2 Ch2 O Ch2ch3

Naming Organic Compounds

Organic Chemistry 3rd Edition Klein Test Bank By Emmanuel Larson

What Is The Iupac Name Of Ch3ch Ch3 Ch C2h5 Ch Ch3 Ch2 2ch3

Penamanaan Dari Senyawa Di Bawah Ini Adalah A Ch3 2ch Ch2 2

Fr2606971a1 Carboxylic Acid Amide S Used As Herbicide Antidotes

What Is The Iupac Name Of These 1 Ch3ch2c Ch3 2ch2ch2ch3 2

Basic Organic Chemistry

Write The Iupac Names Of The Following Br Img Src Https D1